Chiral HPLC Column ION-QN and ION-QD
HPLC columns with weak Anion-Exchanger (WAX) stationary phases for chiral separations
- Description
- Files to download 1
Weak Anion-Exchanger (WAX) stationary phases for reliable chiral separation of organic acids and amino acids.
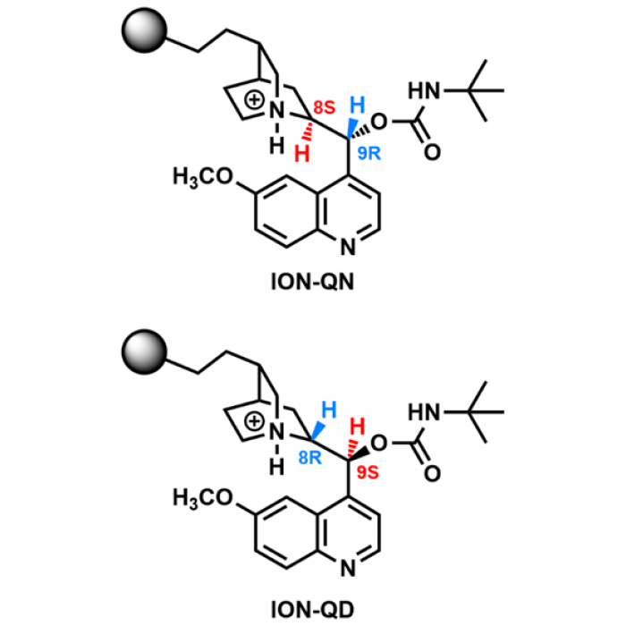
We introduce our own generic series of weak anion-exchangers, based on tert-butyl-carbamoylated Cinchona alkaloids
quinine (QN) and quinidine (QD). Our Chiral ION-QN and Chiral ION-QD columns contain a well-balanced pair of
pseudoenantiomeric chiral selectors, designed to efficiently separate enantiomers of acidic compounds. These columns
represent the most efficient approach to purify and resolve even the most troublesome enantiomeric mixtures.
Applications
Chiral ION-QN and Chiral ION-QD are ideal for enantioseparations of chiral acidic compounds, including:
• N-protected amino acids
• Aminophosphonic & Aminosulfonic acids
• Lactic & Thiolactic acids
• Clenbuterol & Thyroxine
Key Benefits
Provide better separation power and increased enantioselectivity (in comparison to other available alternatives)
• Allow elegant switch of the elution order of enantiomers
• Demonstrated high stability against all common HPLC solvents
• Enable enhanced method development
• Available at analytical and preparative scale
Columns
| Product Type | Category | Column Dimensions (mm) | Silica Size (μm) |
| Chiral ION-QN | preparative | 250 x 21 | 5 |
| preparative | 150 x 21 | 5 | |
| analytical | 150 x 3 | 3 | |
| Chiral ION-QD | preparative | 250 x 21 | 5 |
| preparative | 150 x 21 | 5 | |
| analytical | 150 x 3 | 3 |
Features
|
Max. pressure |
5800 psi (400 bar) |
Max. temperature |
60 °C |
|
Particle size |
3 or 5 μm |
Packing material |
Spherical, Fully Porous |
|
pH range |
2 to 9 |
Carbon load |
13.0% |
|
Pore size |
120 Å |
End-capped |
Yes |
|
Surface area |
300 m²/g |
Product line |
ION |
The mobile phase composition (methanol-formic acid-ammonium formate) has been optimized for preparative applications to provide high column loadability, fast analyte elution, and good peak shape. Moreover, the buffer allows for simple product harvesting by solvent evaporation and subsequent ammonium formate sublimation 50 °C / 10 torr.
The anion exchangers are perfect for the purification of organic acids and their chiral separation. They are very efficient in the chiral resolution of amino acids, but also other derivatives, such as amino phosphonic acids. Aminophosphonic acids are important precursors in the synthesis of phosphopeptidomimetics, which may potentially serve as new-generation pharmaceuticals.
| Filename | Type |
|---|---|
| Info-Columns-HPLC-Chiral ION-QN-QD-en | pdf (823,32 KB) |
